2023년 12월 살림보고 및 회계(통장내역)
Author
유행사
Date
2024-02-08 15:51
Views
695

2023.12 통장사본-303099






2023.12 통장거래내역 - 303099



2023.12 통장사본-304418





2023.12 통장거래내역 - 304418


2023.12 통장사본 - 254431

2023.12 통장거래내역 - 254431
2023.12 통장거래내역 - 295832 거래내역 없음
2023.12 통장사본 - 298466 바자통장











2023.12 통장거래내역 - 298466 바자통장






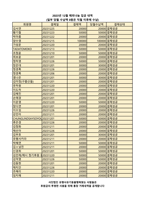
2023.12 해피나눔 개인 입금내역





2023.12 해피나눔 입금내역 (구분)
Total 60
| Number | Title | Author | Date | Votes | Views |
| Notice |
2024년 연간 기부금 모금액 및 활용실적 명세서
유행사
|
2025.04.27
|
Votes 0
|
Views 328
|
유행사 | 2025.04.27 | 0 | 328 |
| Notice |
공익법인 결산서류 등의 공시
유행사
|
2025.04.27
|
Votes 0
|
Views 325
|
유행사 | 2025.04.27 | 0 | 325 |
| Notice |
[공지] 기부금품 모집 및 사용명세 보고서 (모집기간 21년 9월 25일- 22년 9월 24일까지)
유행사
|
2025.03.09
|
Votes 0
|
Views 402
|
유행사 | 2025.03.09 | 0 | 402 |
| Notice |
[공지] 기부금품 모집 및 사용명세 보고서 (모집기간 23년11월10일-24년9월24일까지)
유행사
|
2025.02.24
|
Votes 0
|
Views 380
|
유행사 | 2025.02.24 | 0 | 380 |
| Notice |
[공지] 기부금품모집완료 보고 (모집기간 23년11월10일-24년9월24일까지)
유행사
|
2024.10.14
|
Votes 0
|
Views 588
|
유행사 | 2024.10.14 | 0 | 588 |
| Notice |
[공지] 기부금품 모집 및 사용명세 보고서 (모집기간 2022-09-25 ~ 2023-09-24)
유행사
|
2024.02.28
|
Votes 0
|
Views 730
|
유행사 | 2024.02.28 | 0 | 730 |
| Notice |
[공지] 기부금품모집완료 보고 (모집기간 22년9월25일-23년9월24일까지)
유행사
|
2023.11.14
|
Votes 0
|
Views 750
|
유행사 | 2023.11.14 | 0 | 750 |
| Notice |
[공지] 기부금품모집완료 보고 (모집기간 21년9월25일-22년9월24일까지)
유행사
|
2022.10.17
|
Votes 0
|
Views 1112
|
유행사 | 2022.10.17 | 0 | 1112 |
| 37 |
2024년 8월 살림보고 및 회계 (통장내역)
유행사
|
2024.09.24
|
Votes 0
|
Views 594
|
유행사 | 2024.09.24 | 0 | 594 |
| 36 |
2024년 6-7월 살림보고 및 회계 (통장내역)
유행사
|
2024.08.22
|
Votes 0
|
Views 533
|
유행사 | 2024.08.22 | 0 | 533 |
| 35 |
2024년 5월 살림보고 및 회계 (통장내역)
유행사
|
2024.06.13
|
Votes 0
|
Views 682
|
유행사 | 2024.06.13 | 0 | 682 |
| 34 |
2024년 4월 살림보고 및 회계 (통장내역)
유행사
|
2024.05.24
|
Votes 0
|
Views 672
|
유행사 | 2024.05.24 | 0 | 672 |
| 33 |
2024년 3월 살림보고 및 회계 (통장내역)
유행사
|
2024.04.18
|
Votes 0
|
Views 684
|
유행사 | 2024.04.18 | 0 | 684 |
| 32 |
2024년 2월 살림보고 및 회계(통장내역)
유행사
|
2024.03.18
|
Votes 0
|
Views 671
|
유행사 | 2024.03.18 | 0 | 671 |
| 31 |
2024년 1월 살림보고 및 회계(통장내역)
유행사
|
2024.03.16
|
Votes 0
|
Views 670
|
유행사 | 2024.03.16 | 0 | 670 |
| 30 |
2023년 12월 살림보고 및 회계(통장내역)
유행사
|
2024.02.08
|
Votes 0
|
Views 695
|
유행사 | 2024.02.08 | 0 | 695 |
| 29 |
2023년 11월 살림보고 및 회계(통장내역)
유행사
|
2023.12.25
|
Votes 0
|
Views 729
|
유행사 | 2023.12.25 | 0 | 729 |
| 28 |
2023년 10월 살림보고 및 회계(통장내역)
유행사
|
2023.11.19
|
Votes 0
|
Views 743
|
유행사 | 2023.11.19 | 0 | 743 |
| 27 |
2023년 9월 살림보고 및 회계(통장내역)
유행사
|
2023.10.05
|
Votes 0
|
Views 908
|
유행사 | 2023.10.05 | 0 | 908 |
| 26 |
2023년 8월 살림보고 및 회계(통장내역)
유행사
|
2023.09.12
|
Votes 0
|
Views 726
|
유행사 | 2023.09.12 | 0 | 726 |
| 25 |
2023년 7월 살림보고 및 회계(통장내역)
유행사
|
2023.08.10
|
Votes 0
|
Views 1083
|
유행사 | 2023.08.10 | 0 | 1083 |
| 24 |
2023년 6월 살림보고 및 회계(통장내역)
유행사
|
2023.07.13
|
Votes 0
|
Views 756
|
유행사 | 2023.07.13 | 0 | 756 |
| 23 |
2023년 5월 살림보고 및 회계(통장내역)
유행사
|
2023.06.13
|
Votes 0
|
Views 857
|
유행사 | 2023.06.13 | 0 | 857 |










