2023년 2월 살림보고 및 회계(통장내역)
Author
유행사
Date
2023-04-16 11:23
Views
1800

2023.02 통장사본-303099






2023.02 통장거래내역 - 303099


2023.02 통장사본-304418



2023.02 통장거래내역 - 304418


2023.02 통장사본-254431


2023.02 통장거래내역 - 254431


2023.02 통장사본내역 - 295832


2023.02 통장내역 - 295832

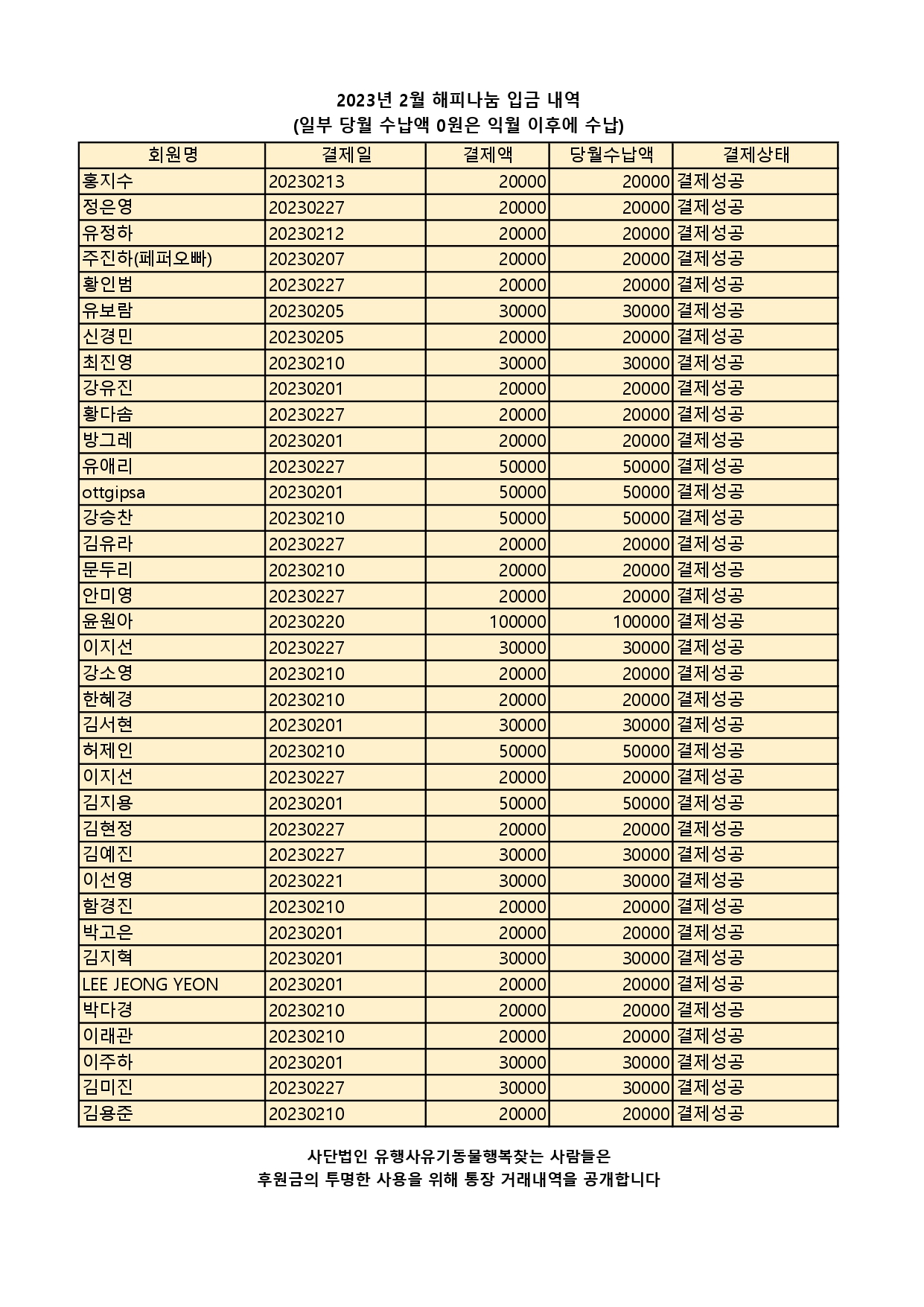
2023.02 해피나눔 입금내역 : 일부 당월수납 = 0은 익월 이후 수납됩니다.




2023.02 해피나눔 입금내역
Total 67
| Number | Title | Author | Date | Votes | Views |
| Notice |
2025년 공익법인 결산서류 등의 공시
유행사
|
2026.04.17
|
Votes 0
|
Views 36
|
유행사 | 2026.04.17 | 0 | 36 |
| Notice |
2025년 연간 기부금 모금액 및 활용실적 명세서
유행사
|
2026.04.17
|
Votes 0
|
Views 37
|
유행사 | 2026.04.17 | 0 | 37 |
| Notice |
[공지] 기부금품 모집 및 사용명세 보고서 (모집기간 24년 9월 30일- 25년 8월 31일까지)
유행사
|
2026.03.03
|
Votes 0
|
Views 106
|
유행사 | 2026.03.03 | 0 | 106 |
| Notice |
2024년 연간 기부금 모금액 및 활용실적 명세서
유행사
|
2025.04.27
|
Votes 0
|
Views 560
|
유행사 | 2025.04.27 | 0 | 560 |
| Notice |
공익법인 결산서류 등의 공시
유행사
|
2025.04.27
|
Votes 0
|
Views 526
|
유행사 | 2025.04.27 | 0 | 526 |
| Notice |
[공지] 기부금품 모집 및 사용명세 보고서 (모집기간 21년 9월 25일- 22년 9월 24일까지)
유행사
|
2025.03.09
|
Votes 0
|
Views 599
|
유행사 | 2025.03.09 | 0 | 599 |
| Notice |
[공지] 기부금품 모집 및 사용명세 보고서 (모집기간 23년11월10일-24년9월24일까지)
유행사
|
2025.02.24
|
Votes 0
|
Views 573
|
유행사 | 2025.02.24 | 0 | 573 |
| Notice |
[공지] 기부금품모집완료 보고 (모집기간 23년11월10일-24년9월24일까지)
유행사
|
2024.10.14
|
Votes 0
|
Views 766
|
유행사 | 2024.10.14 | 0 | 766 |
| Notice |
[공지] 기부금품 모집 및 사용명세 보고서 (모집기간 2022-09-25 ~ 2023-09-24)
유행사
|
2024.02.28
|
Votes 0
|
Views 930
|
유행사 | 2024.02.28 | 0 | 930 |
| Notice |
[공지] 기부금품모집완료 보고 (모집기간 22년9월25일-23년9월24일까지)
유행사
|
2023.11.14
|
Votes 0
|
Views 965
|
유행사 | 2023.11.14 | 0 | 965 |
| Notice |
[공지] 기부금품모집완료 보고 (모집기간 21년9월25일-22년9월24일까지)
유행사
|
2022.10.17
|
Votes 0
|
Views 1357
|
유행사 | 2022.10.17 | 0 | 1357 |
| 56 |
2026년 2월 살림보고 및 회계 (통장내역)
유행사
|
2026.03.30
|
Votes 0
|
Views 48
|
유행사 | 2026.03.30 | 0 | 48 |
| 55 |
2026년 1월 살림보고 및 회계 (통장내역)
유행사
|
2026.03.01
|
Votes 0
|
Views 91
|
유행사 | 2026.03.01 | 0 | 91 |
| 54 |
2025년 12월 살림보고 및 회계 (통장내역)
유행사
|
2026.02.03
|
Votes 0
|
Views 124
|
유행사 | 2026.02.03 | 0 | 124 |
| 53 |
2025년 11월 살림보고 및 회계 (통장내역)
유행사
|
2025.12.30
|
Votes 0
|
Views 154
|
유행사 | 2025.12.30 | 0 | 154 |
| 52 |
2025년 10월 살림보고 및 회계 (통장내역)
유행사
|
2025.11.27
|
Votes 0
|
Views 176
|
유행사 | 2025.11.27 | 0 | 176 |
| 51 |
2025년 9월 살림보고 및 회계 (통장내역)
유행사
|
2025.11.04
|
Votes 0
|
Views 208
|
유행사 | 2025.11.04 | 0 | 208 |
| 50 |
기부금품모집완료 보고 (모집기간 24년09월30일-25년08월31일까지)
유행사
|
2025.10.13
|
Votes 0
|
Views 218
|
유행사 | 2025.10.13 | 0 | 218 |
| 49 |
2025년 8월 살림보고 및 회계 (통장내역)
유행사
|
2025.10.13
|
Votes 0
|
Views 208
|
유행사 | 2025.10.13 | 0 | 208 |
| 48 |
2025년 7월 살림보고 및 회계 (통장내역)
유행사
|
2025.08.22
|
Votes 0
|
Views 297
|
유행사 | 2025.08.22 | 0 | 297 |
| 47 |
2025년 6월 살림보고 및 회계 (통장내역)
유행사
|
2025.07.22
|
Votes 0
|
Views 347
|
유행사 | 2025.07.22 | 0 | 347 |
| 46 |
2025년 5월 살림보고 및 회계 (통장내역)
유행사
|
2025.07.22
|
Votes 0
|
Views 329
|
유행사 | 2025.07.22 | 0 | 329 |
| 45 |
2025년 4월 살림보고 및 회계 (통장내역)
유행사
|
2025.05.28
|
Votes 0
|
Views 408
|
유행사 | 2025.05.28 | 0 | 408 |
| 44 |
2025년 3월 살림보고 및 회계 (통장내역)
유행사
|
2025.05.11
|
Votes 0
|
Views 410
|
유행사 | 2025.05.11 | 0 | 410 |
| 43 |
2025년 2월 살림보고 및 회계 (통장 내역)
유행사
|
2025.03.27
|
Votes 0
|
Views 497
|
유행사 | 2025.03.27 | 0 | 497 |
| 42 |
2025년 1월 살림보고 및 회계 (통장내역)
유행사
|
2025.02.24
|
Votes 0
|
Views 506
|
유행사 | 2025.02.24 | 0 | 506 |
