2023년 7월 살림보고 및 회계(통장내역)
Author
유행사
Date
2023-08-10 17:13
Views
1036

2023.07 통장사본-303099






2023.07 통장거래내역 - 303099


2023.07 통장사본-304418







2023.07 통장거래내역 - 304418



2023.07 통장사본 - 254431

2023.07 통장거래내역 - 254431
2023.07 - 295832 거래내역 없음
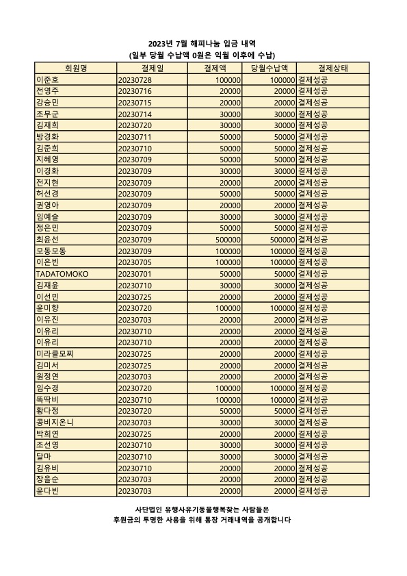
2023.07 해피나눔 개인 입금내역
2023.07 해피나눔 입금내역 (구분)
Total 59
| Number | Title | Author | Date | Votes | Views |
| Notice |
2024년 연간 기부금 모금액 및 활용실적 명세서
유행사
|
2025.04.27
|
Votes 0
|
Views 284
|
유행사 | 2025.04.27 | 0 | 284 |
| Notice |
공익법인 결산서류 등의 공시
유행사
|
2025.04.27
|
Votes 0
|
Views 281
|
유행사 | 2025.04.27 | 0 | 281 |
| Notice |
[공지] 기부금품 모집 및 사용명세 보고서 (모집기간 21년 9월 25일- 22년 9월 24일까지)
유행사
|
2025.03.09
|
Votes 0
|
Views 360
|
유행사 | 2025.03.09 | 0 | 360 |
| Notice |
[공지] 기부금품 모집 및 사용명세 보고서 (모집기간 23년11월10일-24년9월24일까지)
유행사
|
2025.02.24
|
Votes 0
|
Views 329
|
유행사 | 2025.02.24 | 0 | 329 |
| Notice |
[공지] 기부금품모집완료 보고 (모집기간 23년11월10일-24년9월24일까지)
유행사
|
2024.10.14
|
Votes 0
|
Views 541
|
유행사 | 2024.10.14 | 0 | 541 |
| Notice |
[공지] 기부금품 모집 및 사용명세 보고서 (모집기간 2022-09-25 ~ 2023-09-24)
유행사
|
2024.02.28
|
Votes 0
|
Views 692
|
유행사 | 2024.02.28 | 0 | 692 |
| Notice |
[공지] 기부금품모집완료 보고 (모집기간 22년9월25일-23년9월24일까지)
유행사
|
2023.11.14
|
Votes 0
|
Views 712
|
유행사 | 2023.11.14 | 0 | 712 |
| Notice |
[공지] 기부금품모집완료 보고 (모집기간 21년9월25일-22년9월24일까지)
유행사
|
2022.10.17
|
Votes 0
|
Views 1069
|
유행사 | 2022.10.17 | 0 | 1069 |
| 51 |
2025년 9월 살림보고 및 회계 (통장내역)
유행사
|
2025.11.04
|
Votes 0
|
Views 18
|
유행사 | 2025.11.04 | 0 | 18 |
| 50 |
기부금품모집완료 보고 (모집기간 24년09월30일-25년08월31일까지)
유행사
|
2025.10.13
|
Votes 0
|
Views 40
|
유행사 | 2025.10.13 | 0 | 40 |
| 49 |
2025년 8월 살림보고 및 회계 (통장내역)
유행사
|
2025.10.13
|
Votes 0
|
Views 46
|
유행사 | 2025.10.13 | 0 | 46 |
| 48 |
2025년 7월 살림보고 및 회계 (통장내역)
유행사
|
2025.08.22
|
Votes 0
|
Views 120
|
유행사 | 2025.08.22 | 0 | 120 |
| 47 |
2025년 6월 살림보고 및 회계 (통장내역)
유행사
|
2025.07.22
|
Votes 0
|
Views 162
|
유행사 | 2025.07.22 | 0 | 162 |
| 46 |
2025년 5월 살림보고 및 회계 (통장내역)
유행사
|
2025.07.22
|
Votes 0
|
Views 164
|
유행사 | 2025.07.22 | 0 | 164 |
| 45 |
2025년 4월 살림보고 및 회계 (통장내역)
유행사
|
2025.05.28
|
Votes 0
|
Views 225
|
유행사 | 2025.05.28 | 0 | 225 |
| 44 |
2025년 3월 살림보고 및 회계 (통장내역)
유행사
|
2025.05.11
|
Votes 0
|
Views 233
|
유행사 | 2025.05.11 | 0 | 233 |
| 43 |
2025년 2월 살림보고 및 회계 (통장 내역)
유행사
|
2025.03.27
|
Votes 0
|
Views 302
|
유행사 | 2025.03.27 | 0 | 302 |
| 42 |
2025년 1월 살림보고 및 회계 (통장내역)
유행사
|
2025.02.24
|
Votes 0
|
Views 317
|
유행사 | 2025.02.24 | 0 | 317 |
| 41 |
2024년 12월 살림보고 및 회계 (통장내역)
유행사
|
2025.02.11
|
Votes 0
|
Views 345
|
유행사 | 2025.02.11 | 0 | 345 |
| 40 |
2024년 11월 살림보고 및 회계 (통장내역)
유행사
|
2024.12.31
|
Votes 0
|
Views 396
|
유행사 | 2024.12.31 | 0 | 396 |
| 39 |
2024년 10월 살림보고 및 회계 (통장내역)
유행사
|
2024.11.21
|
Votes 0
|
Views 419
|
유행사 | 2024.11.21 | 0 | 419 |
| 38 |
2024년 9월 살림보고 및 회계 (통장내역)
유행사
|
2024.10.26
|
Votes 0
|
Views 465
|
유행사 | 2024.10.26 | 0 | 465 |
| 37 |
2024년 8월 살림보고 및 회계 (통장내역)
유행사
|
2024.09.24
|
Votes 0
|
Views 548
|
유행사 | 2024.09.24 | 0 | 548 |











