2024년 9월 살림보고 및 회계 (통장내역)
Author
유행사
Date
2024-10-26 20:37
Views
506

2024.09 통장거래내역 - 303099 지출통장

2024.09 통장거래내역 - 304418 후원통장

2024.09 통장거래내역 - 295832 굿즈통장

2024.09 통장거래내역 - 254431 경상통장

2024.09 통장거래내역 - 298466 바자통장

2024년 8월 살림보고 및 회계 (통장내역)
작성자
유행사
작성일
2024-09-24 20:54
조회
36

2024.08 통장거래내역 - 4418 후원통장




2024.08 통장거래내역 - 5832 굿즈통장

2024.08 통장거래내역 - 4431 경상통장

2024.08 통장거래내역 - 8466 바자통장

2024.08 통장거래내역 - 44099 지출통장



2024.09 해피나눔 개인 입금 내역

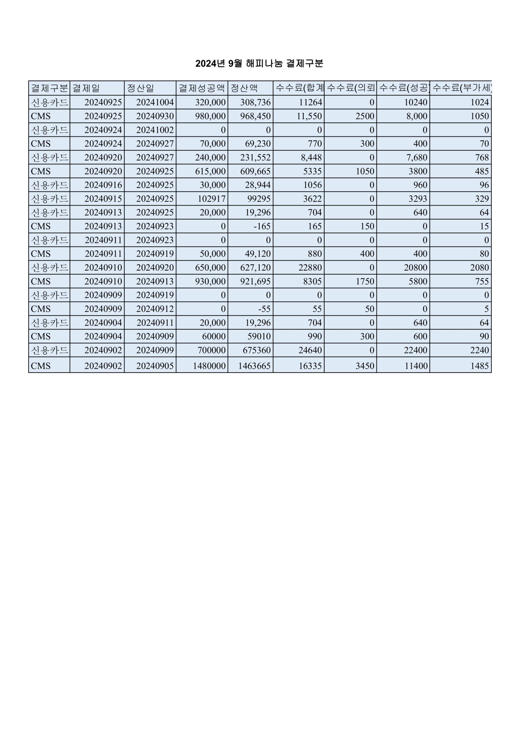
2024.09 해피나눔 개인 입금 내역 (구분)

Total 60
| Number | Title | Author | Date | Votes | Views |
| Notice |
2024년 연간 기부금 모금액 및 활용실적 명세서
유행사
|
2025.04.27
|
Votes 0
|
Views 328
|
유행사 | 2025.04.27 | 0 | 328 |
| Notice |
공익법인 결산서류 등의 공시
유행사
|
2025.04.27
|
Votes 0
|
Views 325
|
유행사 | 2025.04.27 | 0 | 325 |
| Notice |
[공지] 기부금품 모집 및 사용명세 보고서 (모집기간 21년 9월 25일- 22년 9월 24일까지)
유행사
|
2025.03.09
|
Votes 0
|
Views 401
|
유행사 | 2025.03.09 | 0 | 401 |
| Notice |
[공지] 기부금품 모집 및 사용명세 보고서 (모집기간 23년11월10일-24년9월24일까지)
유행사
|
2025.02.24
|
Votes 0
|
Views 379
|
유행사 | 2025.02.24 | 0 | 379 |
| Notice |
[공지] 기부금품모집완료 보고 (모집기간 23년11월10일-24년9월24일까지)
유행사
|
2024.10.14
|
Votes 0
|
Views 588
|
유행사 | 2024.10.14 | 0 | 588 |
| Notice |
[공지] 기부금품 모집 및 사용명세 보고서 (모집기간 2022-09-25 ~ 2023-09-24)
유행사
|
2024.02.28
|
Votes 0
|
Views 729
|
유행사 | 2024.02.28 | 0 | 729 |
| Notice |
[공지] 기부금품모집완료 보고 (모집기간 22년9월25일-23년9월24일까지)
유행사
|
2023.11.14
|
Votes 0
|
Views 750
|
유행사 | 2023.11.14 | 0 | 750 |
| Notice |
[공지] 기부금품모집완료 보고 (모집기간 21년9월25일-22년9월24일까지)
유행사
|
2022.10.17
|
Votes 0
|
Views 1111
|
유행사 | 2022.10.17 | 0 | 1111 |
| 52 |
2025년 10월 살림보고 및 회계 (통장내역)
유행사
|
2025.11.27
|
Votes 0
|
Views 23
|
유행사 | 2025.11.27 | 0 | 23 |
| 51 |
2025년 9월 살림보고 및 회계 (통장내역)
유행사
|
2025.11.04
|
Votes 0
|
Views 57
|
유행사 | 2025.11.04 | 0 | 57 |
| 50 |
기부금품모집완료 보고 (모집기간 24년09월30일-25년08월31일까지)
유행사
|
2025.10.13
|
Votes 0
|
Views 70
|
유행사 | 2025.10.13 | 0 | 70 |
| 49 |
2025년 8월 살림보고 및 회계 (통장내역)
유행사
|
2025.10.13
|
Votes 0
|
Views 76
|
유행사 | 2025.10.13 | 0 | 76 |
| 48 |
2025년 7월 살림보고 및 회계 (통장내역)
유행사
|
2025.08.22
|
Votes 0
|
Views 154
|
유행사 | 2025.08.22 | 0 | 154 |
| 47 |
2025년 6월 살림보고 및 회계 (통장내역)
유행사
|
2025.07.22
|
Votes 0
|
Views 199
|
유행사 | 2025.07.22 | 0 | 199 |
| 46 |
2025년 5월 살림보고 및 회계 (통장내역)
유행사
|
2025.07.22
|
Votes 0
|
Views 199
|
유행사 | 2025.07.22 | 0 | 199 |
| 45 |
2025년 4월 살림보고 및 회계 (통장내역)
유행사
|
2025.05.28
|
Votes 0
|
Views 266
|
유행사 | 2025.05.28 | 0 | 266 |
| 44 |
2025년 3월 살림보고 및 회계 (통장내역)
유행사
|
2025.05.11
|
Votes 0
|
Views 275
|
유행사 | 2025.05.11 | 0 | 275 |
| 43 |
2025년 2월 살림보고 및 회계 (통장 내역)
유행사
|
2025.03.27
|
Votes 0
|
Views 337
|
유행사 | 2025.03.27 | 0 | 337 |
| 42 |
2025년 1월 살림보고 및 회계 (통장내역)
유행사
|
2025.02.24
|
Votes 0
|
Views 352
|
유행사 | 2025.02.24 | 0 | 352 |
| 41 |
2024년 12월 살림보고 및 회계 (통장내역)
유행사
|
2025.02.11
|
Votes 0
|
Views 386
|
유행사 | 2025.02.11 | 0 | 386 |
| 40 |
2024년 11월 살림보고 및 회계 (통장내역)
유행사
|
2024.12.31
|
Votes 0
|
Views 441
|
유행사 | 2024.12.31 | 0 | 441 |
| 39 |
2024년 10월 살림보고 및 회계 (통장내역)
유행사
|
2024.11.21
|
Votes 0
|
Views 455
|
유행사 | 2024.11.21 | 0 | 455 |
| 38 |
2024년 9월 살림보고 및 회계 (통장내역)
유행사
|
2024.10.26
|
Votes 0
|
Views 506
|
유행사 | 2024.10.26 | 0 | 506 |
